
Современные технологии распознавания образов всё чаще опираются на передовые решения в области нейронных сетей. Эти инновации активно внедряются в мобильные устройства и специализированные системы, открывая путь к созданию умных приложений будущего. Ученые десятилетиями совершенствовали архитектуру нейросетей, экспериментируя с квантованием, оптимизацией весов и упрощением вычислительных операций. Особое внимание привлекли модели, которые работают быстрее классических аналогов при меньших энергозатратах.
Энергоэффективность и простота: преимущества биполярных нейронов
Биполярные морфологические нейроны — это революционная модель, заменяющая традиционные операции умножения на сложение и вычисление максимума. Такой подход не только снижает нагрузку на процессоры, но и делает алгоритмы более адаптивными для устройств с ограниченными ресурсами. Несмотря на ранние трудности — необходимость использования четырех параллельных вычислений и сложности в обучении — потенциал технологии вдохновил ученых на дальнейшие исследования.
Оптимизация архитектуры: от теории к выдающимся результатам
Команда исследователей из МФТИ и Smart Engines совершила прорыв, представив усовершенствованную версию биполярного нейрона. Их полутораветочная модель сократила количество вычислительных ветвей до одной, а уникальный метод обучения обеспечил точность, сравнимую с классическими нейросетями. Это достижение не только упрощает структуру нейронов, но и значительно повышает их производительность.
Дистилляция знаний: как работает инновационный метод
В основе подхода лежит технология передачи знаний от «учительской» сети к «ученической». Модифицированная функция потерь анализирует выходы обеих моделей, что позволяет достичь впечатляющей точности: 99,45% на MNIST и 86,69% на CIFAR10. Такие результаты демонстрируют, что упрощенные нейроны способны конкурировать с традиционными решениями без потери качества.
Поэтапное обучение: стабильность и эффективность
Процесс обучения построен на последовательном добавлении слоев. Каждый новый уровень сначала согласуется с соответствующей частью «учительской» CNN через расчет среднеквадратичной ошибки, затем его параметры фиксируются для перехода к следующему этапу. Этот метод обеспечивает плавную интеграцию слоев и стабильный рост точности, завершаясь полной готовностью оптимизированной сети к работе.
Традиционный метод обратного распространения ошибки может замедлять обучение биполярных морфологических нейронов из-за необходимости поиска максимума, что ограничивает обновление всего одного веса за итерацию. Однако авторы исследования предложили инновационный подход — непрерывную аппроксимацию операции максимума. Это решение позволяет алгоритму обновлять множество весов одновременно, значительно ускоряя сходимость и повышая эффективность обучения!
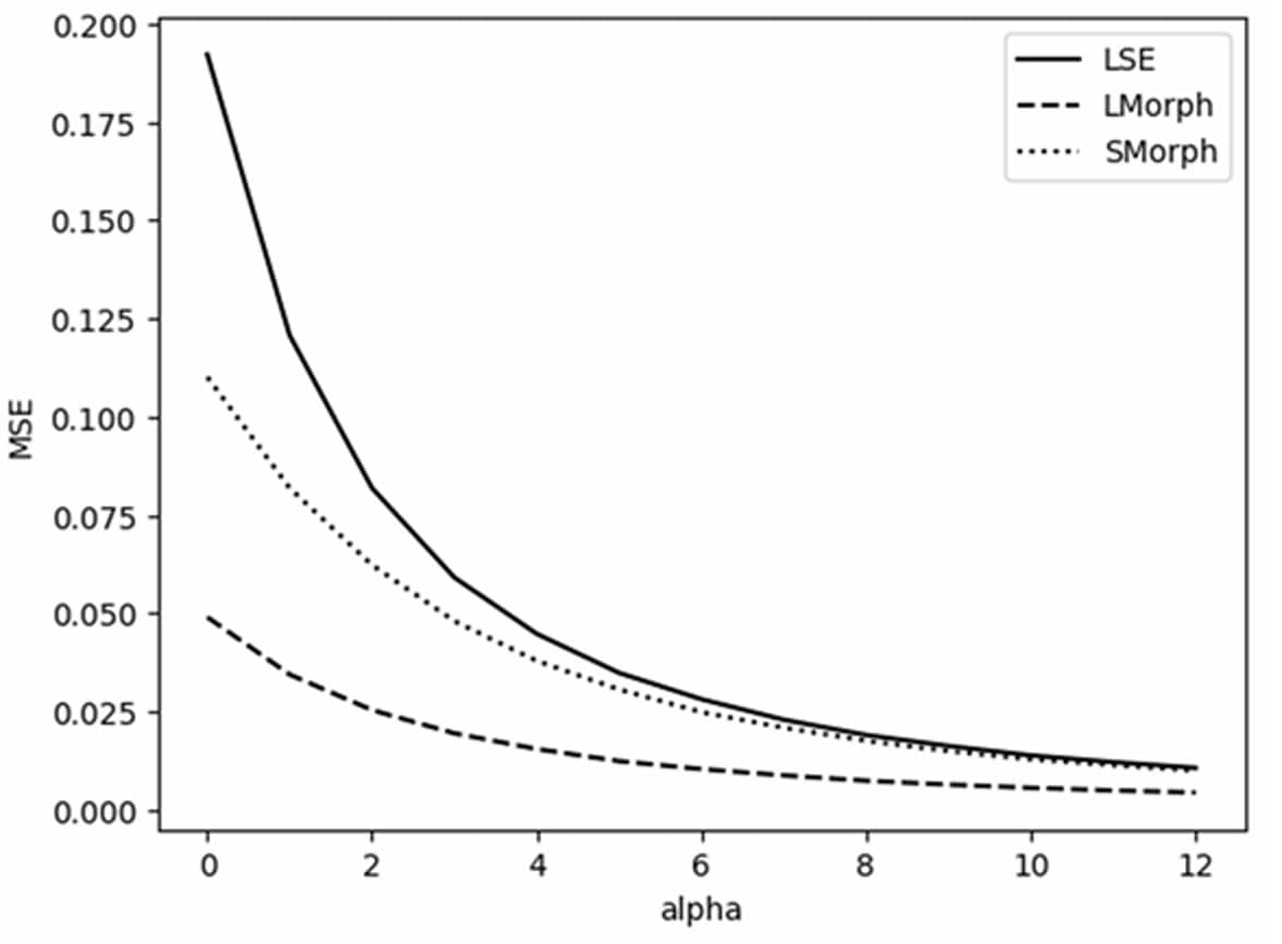
В ходе работы ученые протестировали три формулы аппроксимации, каждая из которых регулируется вещественным параметром. Интересно, что при значениях α > 20 все аппроксимации демонстрируют почти полное соответствие точному максимуму. А при умеренных значениях параметра нейроны начинают обновлять больше весов на каждом шаге, что заметно улучшает способность сети к обучению и открывает новые горизонты для оптимизации.
Обучение моделей с применением дистилляции знаний проводилось в два этапа. Сначала использовались непрерывные аппроксимации, а затем их заменяли точным максимумом, сохраняя полученные веса. Такой подход сочетает гибкость аппроксимаций на начальной стадии и точность финальной настройки, что делает процесс обучения более стабильным и результативным.
«Наш метод не только упрощает архитектуру нейронов, но и обеспечивает высокую производительность. Это важный шаг к созданию энергоэффективных и быстрых нейросетей будущего», — поделился Михаил Зингеренко, аспирант МФТИ.
Исследование открывает перспективы для внедрения биполярных морфологических сетей в области, где критичны скорость и энергосбережение: медицинская диагностика, автономные системы, умные устройства. Упрощенная структура нейронов позволяет разрабатывать компактные решения без потери точности.
Следующие шаги включают эксперименты с архитектурами сетей, углубленный анализ их классификационной способности и интеграцию методов в реальные системы. Ученые уверены, что дальнейшие симуляции помогут раскрыть еще больше возможностей для применения технологии.
Работа российских специалистов стала значимым прорывом в области нейронных сетей, предлагая не только теоретические инновации, но и практические инструменты для их реализации. Это вдохновляет на новые открытия и укрепляет позиции в глобальной гонке технологий!






